【答案】 解:(1)∵关于x的一元二次方程

中,

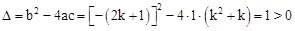
,
∴

。
∴方程有两个不相等的实数根。
(2)∵由

,得

,
∴方程的两个不相等的实数根为

。
∵△ABC的两边AB、AC的长是方程的两个实数根,第三边BC的长为5,
∴有两种情况:
情况1:

,此时

,满足三角形构成条件;
情况2:

,此时

,满足三角形构成条件。
综上所述,

或

。
【解析】(1)根据关于x的一元二次方程根的判别式大于0即可证明结论。
(2)求出方程的根,根据等腰三角形的判定分类求解。
【答案】 解:(1)∵关于x的一元二次方程

中,

,
∴

。
∴方程有两个不相等的实数根。
(2)∵由

,得

,
∴方程的两个不相等的实数根为

。
∵△ABC的两边AB、AC的长是方程的两个实数根,第三边BC的长为5,
∴有两种情况:
情况1:

,此时

,满足三角形构成条件;
情况2:

,此时

,满足三角形构成条件。
综上所述,

或

。
【解析】(1)根据关于x的一元二次方程根的判别式大于0即可证明结论。
(2)求出方程的根,根据等腰三角形的判定分类求解。