这个问题太笼统了,高考数学全国全国卷共有3套卷子,每套试卷分文理科,所以你要问的究竟是哪一套,哪一科呢?
对于不同的人,其难度感知也不尽相同。对于老师来说,好像都挺常规的;对于学霸来说,好像也都挺简单的;对于学渣来说,多么简单的题,他也会觉着难如登天。所以你是什么层次的,才好回答这个问题。
当然,这3套卷子相对于去年来说,总体难度都在下降,整个试卷中,没有偏题,怪题,几乎都是常会试题。下面仅以全国2卷理科数学做简单分析。
一·试卷分析:1·试卷总体特点:
2018年高考全国2卷理科数学,其总体特点是“体现基础,考查重点,突出应用”,整套试卷相对于去年而言,难度下降,这也是未来高考数学命题的风向标,为后面文理不分科做铺垫。
2·注重基础,考查主干:
整套试卷中几乎没有难题,只有简单题和中档题。基础题如集合的运算,复数的运算,函数的图象,平面向量的运算,解三角形,程序框图,线性规划,导数的几何意义等等。解答题依旧是考查主干内容,依旧是高中数学的几大板块,数列与不等式,概率与统计,立体几何,解析几何,函数与导数等。整套试卷体现了全面性和综合性。
3·考查能力,突出思想:
第8题,借助歌德巴赫猜想考查古典概型,灌输数学文化,渗透数学历史。第18题,以实际生活为背景,考查概率统计,体现数学建模能力和数学应用能力。第19题,解析几何,以抛物线为载体,考查运算能力和逻辑推理能力。第20题,立体几何,考查空间想象能力和运算能力。第21题,函数与导数的综合应用,考查函数与方程的思想,分类讨论的思想,以及分析与解决问题的能力。
二·典型问题示例:【评注】

二·典型问题示例:【评注】

二·典型问题示例:【评注】

二·典型问题示例:【评注】
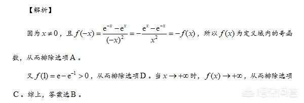
本题考查初等函数的图象,一般这个函数都不是我们所熟知的,根据函数的解析式去选择相应的大致图象。这类题一般可以从以下几个方面来考虑:一是函数的定义域和值域;二是函数的奇偶性,单调性,周期性和对称性;三是特殊点的函数值;四是特殊位置的函数极限。通过以上分析,排除错误选项,得出答案。


【评注】
本题考查函数的奇偶性和周期性,借助函数的性质求值。解决这类题的常规套路是利用函数的性质,将未知的值转到已知值上,注意变形的技巧。值得说明的是,如果一个函数的既有对称轴,又有对称中心,那么这个函数一定是周期函数。


【评注】
本题考查椭圆的离心率,离心率问题有着小题之王的称号。本题根据题意,充分结合几何性质,建立关于a和c的关系,从而得出答案。本题尽管放在选择题压轴题的位置,但是在没有压住轴,难度也就中档。


【评注】
本题考查函数与导数的综合问题,第一问证明函数不等式,可构造函数,转化为函数的值域问题。第二问通过函数的零点求参数的值,可以利用分类讨论的思想解答,也可以利用分离参数法,数形结合求解。就本题而言,两种方法各有特色,殊途同归,但分离参数法更为简洁。
以上,祝你好运。
